化学名称
吡蚜酮也称为吡嗪酮,中文化学名称(E)-4,5-二氢-6-甲基-4-(3-吡啶亚甲基氨基)-1,2,4-三嗪-3(2H)-酮;4,5-二氢-6-甲基-4-(3-吡啶亚甲基氨基)-1,2,4-3(2H)-酮;英文名称:(E)-4,5-dihydro-6-methyl-4-(3-pyridylmethyleneamino)-1,2,4-triazin-3(2H)-one;CAS登录号:123312-89-0;分子式:C10H11N5O;相对分子质量:217.23,化学结构式见图1。

图 1 吡蚜酮化学结构式
吡蚜酮原药外观为白色或浅色粉末;气味:带有轻微的甜味;熔点217℃;密度1.36 g/mL(23℃);蒸气压(25℃):4×10-6 Pa;溶解度(25℃,g/L,pH值6.4~6.5):水中0.29,乙醇中2.25,正已烷中<0.01;油水分离系数(正辛醇/水):logPow=-0.18;pH值(25℃):5.6;稳定性:对光、热稳定,弱酸弱碱条件下稳定。
利用电穿透图(EPG)技术对吡蚜酮的作用机制进行了研究,结果表明无论是采用点滴、饲喂还是注射的方式进行试验,蚜虫或者飞虱接触到吡蚜酮时,都立即产生口针阻塞效应,立刻停止取食,害虫最终饥饿致死,并且这个过程是不可逆转的。尽管目前对吡蚜酮所引起的口针阻塞机制尚不清楚,但已有的研究表明这种不可逆的“停食”不是由于“拒食作用”所引起,而是口针阻塞效应所致。经吡蚜酮处理后的昆虫最初死亡率是很低的,昆虫“饥饿”致死前仍可存活数日,且死亡率高低与气候条件有关。试验表明:药剂处理3 h内,蚜虫的取食活动降低90%左右,处理后48 h,死亡率可接近100%。吡蚜酮通过对害虫的“停食”而致死,让其具有优异的阻断昆虫传播病毒功能。
杀虫剂抗药性行动委员会(IRAC)将吡蚜酮归在第9组,Group 9中包括2个亚组:Group 9B和Group 9D。Group 9B中包含2个吡啶甲亚胺衍生物,即为吡蚜酮和氟虫吡喹(pyrifluquinazon);Group 9D仅含一个有效成分双丙环虫酯(afidopyropen)。吡蚜酮与常规药剂无交互抗性,对其他药剂产生抗性的害虫依然有良好的生物活性。
在吡蚜酮的产品开发中,需要关注近年来的禁限用问题,基于吡蚜酮潜在的内分泌干扰特性和致癌性,以及代谢产物对于地下水造成污染的可能性,2014年挪威禁用吡蚜酮产品的使用,2015年加拿大开始对吡蚜酮进行专项评估,并于2020年建议禁止吡蚜酮的所有户外使用,欧盟也已于2019年淘汰了吡蚜酮产品。
吡蚜酮可以有效防治各种刺吸式口器害虫,如甘蓝蚜、棉蚜、麦蚜、桃蚜、小绿斑叶蝉、褐飞虱、灰飞虱、白背飞虱、莲缢管蚜、甘薯粉虱及温室粉虱等,对蓟马也有良好的防效。适用于作物包括水稻、小麦、蔬菜、棉花和果树等。 吡蚜酮不仅具有触杀性,也具有良好的内吸活性,叶面试验表明,其内吸活性(LC50)是抗蚜威的2~3倍,是氯氰菊酯的140倍以上。吡蚜酮喷雾到叶面上,可以很快渗透到植物叶片中,其在植物体内既能在木质部输导也能在韧皮部输导,良好的双向传导性,良好的内吸性可以将吡蚜酮用于叶面处理,也可以用于土壤处理。由于吡蚜酮对害虫的快速“拒食”作用及15~20 d的持效期,使用吡蚜酮可以很好的保护作物而免受害虫的伤害,茎叶喷雾后新长出的枝叶也可以得到有效保护。 吡蚜酮选择性强,对一些重要天敌或益虫,如棉铃虫的天敌七星瓢虫、普通草蛉、叶蝉及飞虱科的天敌蜘蛛等益虫几乎无危害。 吡蚜酮不仅可以防治抗有机磷和氨基甲酸酯类杀虫剂的桃蚜等抗性品系害虫,也对新烟碱类产生抗性的害虫保持良好的良好的生物活性。折合成活性成分的田间用药量:防治蔬菜蚜虫、温室粉虱,用药量为5 g/667 m2;防治小麦蚜虫,用药量2.5~5 g/667 m2;防治水稻飞虱、叶蝉,用药量7.5~10 g/667 m2;防治棉花蚜虫,用药量10~15 g/667 m2;防治果树桃蚜、苹果蚜,喷雾的浓度为2 500~5 000倍稀释。吡蚜酮可以通过对飞虱的有效防治,来控制南方水稻黑条矮缩病。
吡蚜酮最早由瑞士的汽巴嘉基公司于1988年开发,1994年由诺华(现先正达)公司上市,商品名为Chess。吡蚜酮作为一种杀蚜剂并对早期生长阶段的粉虱和飞虱有良好的防效。1998年在日本上市,1999年在美国获准登记,2000年在欧洲取得登记,陆续被东亚市场广泛接受,其全球市场受益于它的内吸作用及其不同于新烟碱类杀虫剂的作用机理。2017年,安道麦接管了先正达Fulfill(50%吡蚜酮水分散粒剂)产品在美国市场的销售权。
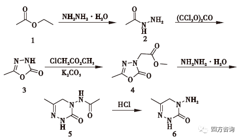
2016年,吡蚜酮的全球销售额为1.05亿美元,2011—2016年的年复合增长率为8.4%。中国是吡蚜酮最重要的市场,2016年的销售额为0.36亿美元,占全球销售额的34.4%;印尼和日本分列二、三位,销售额分别为0.13亿美元和782万美元,分别占全球市场的12.4%和7.4%,近5年来,其市场份额基本保持稳定,2018年的市场销售额为1.04亿美元。 水稻是吡蚜酮最大的应用作物,2016年的销售额为0.25亿美元,占总市场的24.2%。亚洲是吡蚜酮最大的地区市场,2016年的销售额为0.65亿美元,占全球市场的61.6%;欧洲为第二大地区市场,销售额为0.17亿美元,占全球市场的16.0%。欧盟因为吡蚜酮代谢物对地下水的影响,以及对不同物种潜在的内分泌干扰特性而不再续登记,但是其他地区均未受影响,尤其是在水稻种植区,吡蚜酮依然占有很大的市场份额。 吡蚜酮的制备中,是由2个中间体氨基三嗪酮和烟醛的缩合而成。 吡蚜酮的合成中,氨基三嗪酮(化合物6)是重要的中间体,其适宜于工业化生产的方法,一种是采用三氟乙酸乙酯法为起始原料,另一种采用乙酸乙酯(化合物1)为起始原料,其中乙酸乙酯法为起始原料的路线具有原料易得,反应条件温和,收率高等优点,目前国内外生产厂家普遍采用乙酸乙酯法合成氨基三嗪酮,该方法合成步骤包括乙酰肼(化合物2)的合成,噁二唑酮(化合物3)的合成,丙酮基噁二唑酮(化合物4)的合成和氨基三嗪酮的合成等步骤。

图 2 吡蚜酮中间体氨基三嗪酮的合成过程
7.2 烟醛的制备
烟醛(化合物8)的原料是烟腈(化合物7),在催化剂的存在下,通过加氢还原制备得到烟醛。
图 3 吡蚜酮中间体烟醛的制备
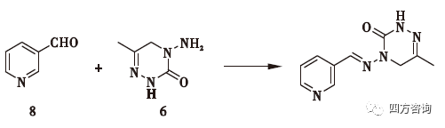
7.3 吡蚜酮的制备
吡蚜酮由2个关键中间体烟醛和氨基三嗪酮经缩合反应,脱水得到吡蚜酮。

图 4 吡蚜酮的合成
对于用乙酰肼为原料制备噁二唑酮的,除了常见的光气或固体光气法外,也有报道用环丙烷的,反应中用到二硫化碳等原料,成本较高,缺乏工业化价值。
8 国内产品登记
截至2020年12月,国内登记的吡蚜酮产品共计449个,其中原药38个,制剂产品411个。
8.1 原药的登记
2007年,江苏安邦电化有限公司(现为安道麦安邦)首先正式登记了吡蚜酮原药,原药登记数量逐年提升,获得证件的高峰时间是2014和2015年,分别达到12个和11个,2016年登记数量出现明显的下降。登记的原药产品有效含量介于95%~98.5%之间(见图5)。
图 5 吡蚜酮原药产品的登记数量
8.2 制剂产品的登记
登记的吡蚜酮制剂产品中,包括220个单剂和191个混剂。2007年江苏安邦电化有限公司(现为安道麦安邦)首次获得吡蚜酮制剂的正式登记,登记的产品为25%可湿性粉剂,随后有零星的产品登记,登记数量从2012年起显著增加,达到8个,2013年攀升到56个,2014年登记数量达到高峰,为113个,从2015—2018年,登记数量在60~79个之间,2019年又滑落到3个,2020年无产品登记(见图6)。

图 6 吡蚜酮制剂产品的登记数量
8.3 登记的剂型种类
在登记的411个吡蚜酮制剂产品中,从剂型类别上分共有9种剂型,2种固体制剂水分散粒剂(WG)和可湿性粉剂(WP)的登记数量位列前茅,分别为173个和166个,水悬浮剂(SC)有59个产品登记,其余的剂型,如悬乳剂(SE)、颗粒剂(GR)、种子处理可分散粉剂(ZF)、悬浮种衣剂(FS)、可分散有悬浮剂(OD)和泡腾片剂(PP)的登记数量均为个位数(见图7)。

图 7 吡蚜酮制剂产品剂型的种类
水分散粒剂登记的吡蚜酮有效含量为50%、60%、70%和75%;可湿性粉剂登记的有效成分含量为25%、30%、40%、50%、70%;悬浮剂登记的有效成分含量均为25%。
8.4 混剂产品的登记
在191个混剂产品中,吡蚜酮与新烟碱类的杀虫剂复配的最多,其中烯啶虫胺45个、呋虫胺25个、噻虫嗪25个、噻虫胺9个、噻虫啉3个、啶虫脒1个、哌虫啶1个,2类对刺吸式口器害虫具有不同作用机制的杀虫剂混用,兼具触杀、胃毒和内吸活性,不仅速效性好,而且持效期长(见图8)。

图 8 登记数量位居前列的8个吡蚜酮混剂
登记数量排在其后的是吡蚜酮与氨基甲酸酯类杀虫剂的复配,其中异丙威23个,速灭威2个,仲丁威2个,甲萘威1个。吡蚜酮与胆碱酯酶抑制剂混用,充分发挥其具有触杀和胃毒作用特性,产品具有速效与持效的特性,残效期短,用于防治稻飞虱、稻叶蝉和蚜虫等。
吡蚜酮与几丁内质抑制剂噻嗪酮的混剂有17个,用于水稻田稻飞虱的防治,由于噻嗪酮对同翅目害虫虫卵的优异效果,复配产品可以达到虫卵兼防的效果。
吡蚜酮与毒死蜱的混剂有10个,毒死蜱是乙酰胆碱酯酶抑制剂,对刺吸式口器和咀嚼式口器害虫均有良好的防效,具有触杀、胃毒和熏蒸作用,和吡蚜酮混用后,可以通过多种作用方式有效防治稻飞虱。
吡蚜酮与阿维菌素的混剂有9个,阿维菌素作为γ-氨基丁酸释放刺激剂,渗透力强,具有触杀和胃毒作用,和吡蚜酮混用不仅有效提高对稻飞虱的防治,其杀虫谱广,也可以防治稻纵卷叶螟和二化螟。
吡蚜酮与高效氯氟氰菊酯的混剂有4个,高效氯氟氰菊酯是昆虫神经轴突部位的传导抑制剂,具有趋避和毒杀作用,对害虫击倒快,防治谱广,与吡蚜酮混用,兼具速效性和持效性,可有效防治粮食和蔬菜作物上的蚜虫。
吡蚜酮与螺虫乙酯的混剂有4个,螺虫乙酯是一种脂肪合成抑制剂,对刺吸式口器害虫防效良好,2种双向传导的内吸性杀虫剂混用,可以有效防除经济作物上的蚜虫和粉虱等害虫。
吡蚜酮与氟啶虫胺腈和氯虫苯甲酰胺分别有2个混剂产品登记,与吡丙醚、哒螨灵、甲氧虫酰肼、茚虫威和低聚糖素各有1个混剂产品登记。
8.5 登记的作物
吡蚜酮的制剂产品登记在22个作物上(图9),在水稻上的登记数量是373个,遥遥领先,排在后面的是小麦38个,甘蓝27个。登记数量超过10个的见图6。登记数量低于10个的作物包括烟草4个,黄瓜4个,观赏花卉4个,棉花3个,茶树2个,桃树2个,杭白菊、番茄、桑树、月季、玉米、菊科观赏花卉、茭白和马铃薯各1个。

图 9 登记数量位居前列的7种作物
8.6 防治的靶标
吡蚜酮总共登记在16个靶标上,其中稻飞虱的登记数量高居榜首,达到337个,排在其后的是蚜虫97个和飞虱36个(图10)。排在后面的是稻纵卷叶螟,茶小绿叶蝉2个,烟青虫、棉蚜、粉虱、黑条矮缩病、桃蚜各1个。可以看到吡蚜酮的产品集中在飞虱和蚜虫的防治上,对于二化螟和稻纵卷叶螟本身并无活性,但是可以通过和其他药剂复配来扩大杀虫谱。

图 10 登记数量位居前列的9种靶标
吡蚜酮对刺吸式口器害虫具有优秀的活性,与现有杀虫剂无交互抗性,是市场上防治刺吸式口器害虫的重要药剂。目前登记的吡蚜酮制剂产品,应用作物以水稻为主,防治的主要害虫是稻飞虱,对于其他领域的刺吸式口器害虫防治,吡蚜酮还有很大的潜力。吡蚜酮登记的剂型产品中,水分散粒剂和可湿性粉剂2种固体制剂占据绝对份额,新的剂型产品开发有很大空间,同时这2种固体制剂的环保型加工方法也有很大的发展空间,例如水分散粒剂中,用喷雾法代替挤压法。吡蚜酮作为一种刺吸式口器害虫防治产品,在防治靶标和应用作物的拓展上,在混剂产品和新剂型的开发上均具有很大的潜力。